중국인 나머지 정리(Chinese Remainder Theorem : CRT)
2025. 7. 9. 01:44ㆍC++ study
?
x가 존재하고 다음과 같은 식을 만족하는 x를 구해야함!
x ≡ 2 (mod 3)
x ≡ 3 (mod 5)
위의 식에서 본다면 x는 8임을 확인할 수 있는데 이를 빠르게 구하기 위해서 중국인 나머지 정리를 활용한다.
증명?(더러움..)
- 다음과 같은 합동식이 존재한다고 하자!

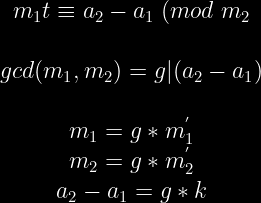
- 두 합동식이 동시에 해를 가지기 위해서는 다음 조건을 만족해야함


- 만약 위의 조건이 성립하지 않으면 해는 존재하지 않음!
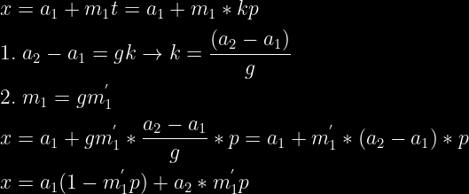
- 위의 조건을 성립하면 x를 다음과 같이 표현할 수 있음



- 위와 같이 표현 가능하고 다음과 같이 표현 가능하다.

- 이제 배주 항등식에 따라서 다음과 같은 식이 존재함을 확인할 수 있다!

- 이제 x를 최종적으로 도출한다면 다음과 같이 도출할 수 있다.

- 그러고 나서 다음의 배주 항등식을 활용하여서 대칭 구조로 나타낼 수 있다!

- q와 p와 같은 경우에는 확장 유클리드 알고리즘을 통해서 구할 수 있다!
활용
- 위의 내용은 두 개의 식에 대해서 설명해 본 것인데 만약 여러 개의 식이 나오면 어떻게 해야 하는 지 살펴보자!
BOJ 34036(걸어가요)
#include <bits/stdc++.h>
using namespace std;
using ll = long long;
using i128 = __int128;
tuple<ll, ll, ll> egcd(ll a, ll b) {
if (b == 0) return { a, 1, 0 };
auto [g, x1, y1] = egcd(b, a % b);
return { g, y1, x1 - (a / b) * y1 };
}
//CRT
pair<ll, ll> CRT(vector<ll>& a, vector<ll>& m) {
int n = a.size();
ll a1 = a[0];
ll m1 = m[0];
a1 %= m1;
for (int i = 1; i < n; i++) {
ll a2 = a[i];
ll m2 = m[i];
ll g = gcd(m1, m2);
if ((a2 - a1) % g != 0) return { -1, -1 };
auto [_, p, q] = egcd(m1 / g, m2 / g);
i128 mod = (i128)m1 / g * m2;
i128 t1 = ((i128)a1 * (m2 / g) % mod) * q % mod;
i128 t2 = ((i128)a2 * (m1 / g) % mod) * p % mod;
i128 res = (t1 + t2) % mod;
if (res < 0) res += mod;
a1 = (ll)res;
m1 = (ll)mod;
}
return { a1, m1 };
}
int main() {
ios_base::sync_with_stdio(0);
cin.tie(0);
int n;
cin >> n;
vector<ll> x(n), s(n);
for (int i = 0; i < n; i++) {
cin >> x[i] >> s[i];
}
auto [res, mod] = CRT(x, s);
if (res == -1) cout << -1;
else {
ll mx = *max_element(x.begin(), x.end());
if (res < mx) {
//res가 최대값 보다 작은 경우
//mx보다 크게 만들어줌
ll k = (mx - res + mod - 1) / mod;
res += k * mod;
}
cout << res;
}
}'C++ study' 카테고리의 다른 글
| Trie (0) | 2025.09.09 |
|---|---|
| 확장 유클리드 알고리즘 (0) | 2025.07.08 |
| 이분 매칭(Bipartite Matching) (0) | 2025.03.10 |
| 2-SAT (0) | 2025.03.01 |
| SCC (Strongly Connected Component) (0) | 2025.02.16 |